|
art theory 101~
LUFE: The Layman’s Unified Field
Expose` |
LUFE:
The Layman’s Unified Field Expose`
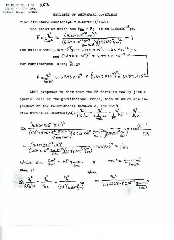
~ Chapter IV: Geometry of Universal Constants ~
~~~obstinate
bass~~~
Copyright©
1985, 2008, Reginald Brooks. All rights reserved
|
|
·
NOTE: This book was published in a limited
edition by the author in 1985. It was distributed to a number of university
physics departments over several years. It has now, in 2008-09, been digitized
… really, imaged … as jpeg graphic
files, scanned directly from the original without alteration. It is the source
of The LUFE Matrix.
·
All
graphics, and the content contained therein, remain part of the original
copyrighted manuscript. Copyright © 1985, Reginald Brooks. All rights reserved.











































































This
paper and all its contents ©
1985, 2008, Reginald Brooks. All rights reserved. Permission is hereby granted
for single copies to be made for personal, non-commercial use for students and
teachers of schools, colleges and universities provided that: either the entire
paper, including figures and tables, is kept intact; or, any extracts of the
text, or figures or tables (in part or whole), be properly and visibly cited as
to authorship and source.
NEXT
Chapter on LUFE
or
NEXT: On to Page 5a- Dark-Dark-Light: Dark Matter = Dark Energy
Back to Naughty Physics (a.k.a. The LUFE Matrix )
________________________________________________________
The LUFE Matrix
Page 5a- Dark-Dark-Light: Dark Matter = Dark Energy
Page 5b- The History of the Universe in Scalar Graphics
Page 5c- The History of the Universe_update: The Big Void
Page 6a- Geometry- Layout
Page 6b- Geometry- Space Or Time Area (SOTA)
Page
6c- Geometry- Space-Time Interactional Dimensions(STID)
Page 6d- Distillation of SI units into ST dimensions
Page 6e- Distillation of SI quantities into ST dimensions
Page 7a- The LUFE Matrix Supplement:
Introduction-Layout & Rules
Page 7b- The LUFE Matrix Supplement: Examples and Proofs
Page 7c- The LUFE Matrix Supplement: References
Page 8a- The LUFE Matrix: Infinite Dimensions
Page 9- The LUFE Matrix:E=mc2
Page
10a- Quantum Gravity ...by the book
Page
11- The Conservation of SpaceTime
LUFE
Page
12a- LUFE: The Layman’s Unified Field Expose-
Preface, Table of Contents, and List
of Figures
Page
12b- LUFE: The Layman’s Unified Field Expose-
Chapter I: Symmetry of Design (Fields)
~sonata form~
Page
12c- LUFE: The Layman’s Unified Field Expose-
Chapter II: Introduction to the
Geometry
Of Interactions
~rhythms and
melodies~
Page
12d- LUFE: The Layman’s Unified Field Expose-
Chapter III: The Geometry of Elemental
Forms
~scales~
Page 12e- LUFE: The
Layman’s Unified Field Expose-
Chapter IV: The Geometry of Universal
Constants
~obstinate bass~
Page
12f- LUFE: The Layman’s Unified Field Expose-
Chapter V: The Geometry of
Intermediate Forms
~chords~
Page
12g- LUFE: The Layman’s Unified Field Expose-
Chapter VI: The Geometry of Change
~polyrhythms and polyphony
Page
12h- LUFE: The Layman’s Unified Field Expose-
Chapter VII: The Geometry of Paradox
~counterpoint~
Page
12i- LUFE: The Layman’s Unified Field Expose-
Chapter VIII: The Geometry of Large
Forms
~harmony~
Page
12j- LUFE: The Layman’s Unified Field Expose-
Appendix I:
Page
12k- LUFE: The Layman’s Unified Field Expose-
Appendix II: Fundamental Constants
Page
12k- LUFE: The Layman’s Unified Field Expose-
Appendix II: Fundamental Constants
~1. Mass: Mass Expression
Page
12l- LUFE: The Layman’s Unified Field Expose-
Appendix II: Fundamental Constants
~2. Ratios:Ratios of the Electron to the Proton
Page
12m- LUFE: The Layman’s Unified Field Expose-
Appendix II: Fundamental Constants
~3. Charge: Charge Expression
Page
12n- LUFE: The Layman’s Unified Field Expose-
Appendix II: Fundamental Constants
~4. LUFE Matrix: Common Units and The LUFE Matrix
Page
12o- LUFE: The Layman’s Unified Field Expose-
Appendix II: Fundamental Constants
~5. The Atom: Mass Variation in the Electron by Photon Absorption and The Inverse Square Law
Page
12p- LUFE: The Layman’s Unified Field Expose-
Acknowledgements and Bibliography
Copyright©2008
Reginald Brooks, BROOKS DESIGN. All Rights Reserved.